Mariners and ships in Australian Waters

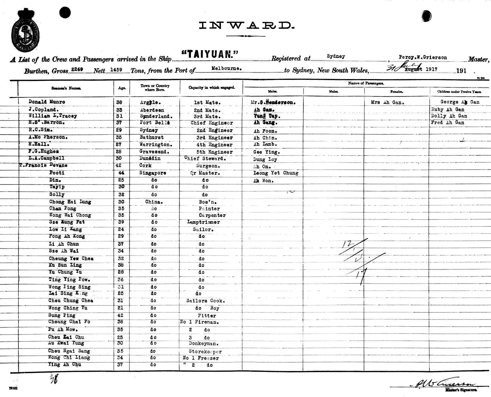
TAIYUAN

OF SYDNEY, PERCY W. GRIERSON, MASTER, BURTHEN 2269/1459 TONS
FROM THE PORT OF MELBOURNE TO SYDNEY, NEW SOUTH WALES, 31ST JULY 1917

Surname Given name Station Age Of what Nation Status Comments
GRIERSON PERCY W. MASTER     CREW  
MUNRO DONALD 1ST MATE 38 ARGYLE CREW  
COPLAND J. 2ND MATE 33 ABERDEEN CREW  
TRACEY WILLIAM L. 3RD MATE 31 SUNDERLAND CREW  
BARRON H. S. CHIEF ENGINEER 37 PORTOBELLO CREW  
SIM R. C. 2ND ENGINEER 29 SYDNEY CREW  
MCPHERSON A. 3RD ENGINEER 35 BATHURST CREW  
HALL H. 4TH ENGINEER 27 WARRINGTON CREW  
HUGHES F. G. 5TH ENGINEER 28 GRAVESEND CREW  
CAMPBELL L. A. CHIEF STEWARD 30 DUNEDIN CREW  
DEVANE T. FRANCIS SURGEON 42 CORK CREW  
POOTI   QUARTER MASTER 44 SINGAPORE CREW  
DIN   QUARTER MASTER 25 SINGAPORE CREW  
TAYIP   QUARTER MASTER 30 SINGAPORE CREW  
SOLLY   QUARTER MASTER 32 SINGAPORE CREW  
LUNG CHONG HAI BOATSWAIN 30 CHINA CREW  
PONG CHAN PAINTER 35 CHINA CREW  
CHONG WONG WAI CARPENTER 35 CHINA CREW  
FAT SZE SUNG LAMP TRIMMER 39 CHINA CREW  
KANG LOW LI SAILOR 24 CHINA CREW  
KONG FONG AH SAILOR 29 CHINA CREW  
CHUN LI AH SAILOR 37 CHINA CREW  
WAI SZE AH SAILOR 34 CHINA CREW  
CHEA CHEUNG YEW SAILOR 32 CHINA CREW  
LING KU SUN SAILOR 38 CHINA CREW  
YU YU CHUNG SAILOR 28 CHINA CREW  
POW TING YING SAILOR 36 CHINA CREW  
SING WONG PING SAILOR 31 CHINA CREW  
KANG LAI SING SAILOR 25 CHINA CREW  
CHEA CHEU CHUNG SAILOR'S COOK 31 CHINA CREW  
YU WONG CHING SAILOR'S COOK'S BOY 21 CHINA CREW  
PING SUNG FITTER 42 CHINA CREW  
FO CHEANG CHAI NO 1 FIREMAN 38 CHINA CREW  
MOW PU AH NO 2 FIREMAN 35 CHINA CREW  
CHU CHEU LAI NO 3 FIREMAN 25 CHINA CREW  
YUNG AU KWAI DONKEYMAN 30 CHINA CREW  
SANG CHEU NGAI STOREKEEPER 35 CHINA CREW  
LIANG WONG CHI NO 1 FREEZER 34 CHINA CREW  
CHU YING AH NO 2 FREEZER 37 CHINA CREW  
HENDERSON G. MR     PASSENGER  
GAN AH MALE     PASSENGER  
TAP YUNG MALE     PASSENGER  
AH GANG   MALE     PASSENGER  
FOON AH MALE     PASSENGER  
CHIN AH MALE     PASSENGER  
LAMB AH MALE     PASSENGER  
YING GEE MALE     PASSENGER  
LOY DUNG MALE     PASSENGER  
ON AH MALE     PASSENGER  
CHUNG LEONG YET MALE     PASSENGER  
WON AH MALE     PASSENGER  
AH GAN   MRS     PASSENGER  
AH GAN GEORGE   u12   PASSENGER  
AH GAN RUBY   u12   PASSENGER  
AH GAN DOLLY   u12   PASSENGER  
AH GAN FRED   u12   PASSENGER  
FUNG WONG CHI ELECTRICIAN 42 CHINA CREW  
PING YU SZE FIREMAN 35 CHINA CREW  
YU HOW SAI FIREMAN 31 CHINA CREW  
LAI CHEU KANG FIREMAN 30 CHINA CREW  
CHU CHEU YU FIREMAN 27 CHINA CREW  
LAI SHU SHEW FIREMAN 26 CHINA CREW  
SANG SZE AH FIREMAN 27 CHINA CREW  
MUK NG LAING FIREMAN 34 CHINA CREW  
KWAI LI LI FIREMAN 20 CHINA CREW  
HAI CHU SHIN FIREMAN 28 CHINA CREW  
CHUNG WONG PING TRIMMER 25 CHINA CREW  
SING WONG SUNG TRIMMER 19 CHINA CREW  
YU CHEW AH TRIMMER 19 CHINA CREW  
CHOW WONG CHEANG FIREMANS COOK 45 CHINA CREW  
FONG DONG CHING FIREMANS COOK'S BOY 20 CHINA CREW  
CHII LO CHIEF COOK 38 CHINA CREW  
TAI CHEANG 2ND COOK 25 CHINA CREW  
HONG LO 3RD COOK 25 CHINA CREW  
SOON CHING LING NO1 SALOON BOY 25 CHINA CREW  
SING LO SALOON BOY 25 CHINA CREW  
CHONG HANG SALOON BOY 26 CHINA CREW  
KEE WONG SALOON BOY 25 CHINA CREW  
SING YEW SALOON BOY 28 CHINA CREW  
KEE SUN OFFICERS BOY 24 CHINA CREW  
YU CHOW MESS ROOM BOY 27 CHINA CREW  
YIN LAM 2ND CLASS BOY 35 CHINA CREW  
CHIK LUNG 2ND CLASS BOY 41 CHINA CREW  
SUNG SAI 3RD CLASS BOY 36 CHINA CREW  
HENG CHING 3RD CLASS BOY 31 CHINA CREW  
SUN CHUNG PANTRY BOY 34 CHINA CREW  
SUNG LI TOPAZ 35 CHINA CREW  
SEE LI BOY 20 CHINA CREW  
WING CHAN PASSENGER COOK 50 CANTON CREW  
YEE WONG PASSENGER COOK 28 CANTON CREW  
TO WONG PASSENGER COOK 40 CANTON CREW  

 

Source: State Records Authority of New South Wales: Shipping Master's Office; Passengers Arriving 1855 - 1922; NRS13278, [X425] reels 2098 & 2099.   Transcribed by Lester Hamilton. Proofread by Lyn & Maurie.

You may view/print a scan of the original list Scan Scan - a monitor set to high resolution is recommended for clarity. Use your back button to return.

Modifications made to scans: In some instances, text was enhanced - there was still an occasional name or list which defied this effort to read it; the Master's signature is usually found at the bottom right corner of the page; some pages have been shortened; excessive black markings have been removed. The last two mods. were to enable the fastest possible display in your browser.

Email 
Mary-Anne Warner
2025

Mariner's Home | This month's list | Search