Mariners and ships in Australian Waters |
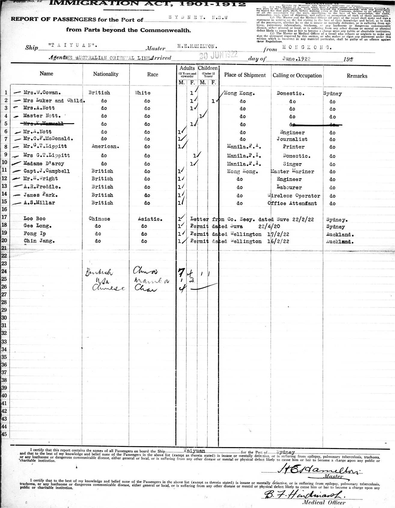
TAIYUANH. E. HAMILTON, MASTER, THE AUSTRALIAN ORIENTAL LINE, AGENT FROM THE PORT OF HONG KONG TO SYDNEY, NEW SOUTH WALES, 20TH JUNE 1922 |
| Surname |
Given name |
Station |
Place Shipment |
Of what Nation |
Status |
Comments |
| HAMILTON |
H. E. |
MASTER |
|
|
CREW |
|
| COWAN |
W. |
MRS |
HONG KONG |
BRITISH |
PASSENGER |
DOMESTIC |
| LUKER |
|
MRS |
HONG KONG |
BRITISH |
PASSENGER |
DOMESTIC |
| LUKER |
CHILD |
FEMALE |
HONG KONG |
BRITISH |
PASSENGER |
|
| NOTT |
A. |
MRS |
HONG KONG |
BRITISH |
PASSENGER |
DOMESTIC |
| NOTT |
CHILD |
MASTER |
HONG KONG |
BRITISH |
PASSENGER |
|
| NOTT |
A. |
MR |
HONG KONG |
BRITISH |
PASSENGER |
ENGINEER |
| MCDONALD |
C. F. |
MR |
HONG KONG |
BRITISH |
PASSENGER |
JOURNALIST |
| LIPPITT |
G. T. |
MR |
MANILA P.I. |
AMERICAN |
PASSENGER |
PRINTER |
| LIPPITT |
G. T. |
MRS |
MANILA P.I. |
AMERICAN |
PASSENGER |
DOMESTIC |
| D'ARCY |
|
MADAME |
MANILA P.I. |
AMERICAN |
PASSENGER |
SINGER |
| CAMPBELL |
J. |
CAPTAIN |
HONG KONG |
BRITISH |
PASSENGER |
MASTER MARINER |
| WRIGHT |
H. |
MR |
HONG KONG |
BRITISH |
PASSENGER |
ENGINEER |
| PREDDLE |
A. R. |
|
HONG KONG |
BRITISH |
PASSENGER |
LABOURER |
| PARK |
JAMES |
|
HONG KONG |
BRITISH |
PASSENGER |
WIRELESS OPERATOR |
| MILLAR |
A. S. |
|
HONG KONG |
BRITISH |
PASSENGER |
OFFICE ATTENDANT |
| LOO BOO |
|
|
|
CHINESE |
PASSENGER |
LETTER CO. SECY SUVA 22/2/22 |
| GEE LONG |
|
|
|
CHINESE |
PASSENGER |
PERMIT SUVA 22/4/20 |
| FONG IP |
|
|
|
CHINESE |
PASSENGER |
PERMIT WELLINGTON 17/2/22 |
| CHIN JANG |
|
|
|
CHINESE |
PASSENGER |
PERMIT WELLINGTON 16/2/22 |
Source: State Records Authority of New South Wales: Shipping Master's Office; Passengers Arriving 1855 - 1922; NRS13278, [X463] reel 2121. Transcribed by Margaret Snell. You may view/print a scan of the original list - a monitor set to high resolution is recommended for clarity. Use your back button to return. |
Modifications made to scans: In some instances, text was enhanced - there was still an occasional name or list which defied this effort to read it; the Master's signature is usually found at the bottom right corner of the page; some pages have been shortened; excessive black markings have been removed. The last two mods. were to enable the fastest possible display in your browser. |
Email Mary-Anne Warner 2017 | Mariner's Home | This month's list | Search |